Wheat Pathology Report for 2022
The goal of the Wheat Improvement Team (WIT) at Oklahoma State University is to select and release disease-resistant varieties. Last year, we evaluated winter wheat breeding lines with multiple diseases, including leaf rust, powdery mildew, tan spot, spot blotch, barley yellow dwarf and wheat soilborne mosaic/wheat spindle streak mosaic (Table 1). The evaluated materials were preliminary, intermediate and elite breeding lines. As environmental conditions, such as heat and drought, may not favor natural disease development in the field, we also conducted greenhouse evaluations using artificial inoculations. Both the phenotypic selection and marker assisted selection were used to advance lines in the breeding pipeline.
Table 1. Number of OSU breeding lines tested to wheat fungal and viral diseases.
| Disease | Test Condition | Number of Breeding Lines - Seedling State | Number of Breeding Lines - Adult-Plant Stage | Number of Breeding LInes - Total |
|---|---|---|---|---|
| Leaf Rust | Greenhouse | 302 | 302 | 604 |
| Powdery Mildew | Greenhouse | 203 | 303 | 506 |
| Tan Spot | Greenhouse | 203 | - | 203 |
| Spot Blotch | Greenhouse | 40 | - | 40 |
| Wheat Soilborne Mosaic/Wheat Spindle Streak Mosaic | Field | - | 626 | 626 |
| Barley Yellow Dwarf | Field | - | 170 | 170 |
Leaf Rust
Yield losses in Oklahoma due to leaf rust (Figure 1) were estimated at 3.4% on average over the last five years (2018-2022). Developing resistant varieties to leaf rust is the best approach to managing this disease. Leaf rust resistance has been classified into seedling resistance, also known as all-stage resistance (ASR) or race-specific resistance, and adult-plant resistance (APR), also known as non-race specific resistance. ASR is generally controlled by major genes, but it is often short-lived due to rapid virulence evolution in the leaf rust pathogen. APR provides partial resistance only in the adult plant stages, and it has proven to be more durable compared to ASR, especially when multiple APR genes are stacked into one genotype, such as varieties Duster, Gallagher and Iba. Therefore, pyramiding effective ASR and APR genes or multiple APR genes into a single wheat variety is ideal to achieve durable rust resistance. Molecular markers are now available for some but not all resistance genes, which may facilitate but not necessarily accomplish the pyramiding process. This explains why high levels of leaf rust resistance are not commonplace among hard red winter wheat varieties. Breeding for leaf rust resistance is not a simple endeavor, even when the breeding program earnestly includes it as a breeding target.
Figure 1. Leaf rust symptoms on a susceptible wheat variety.
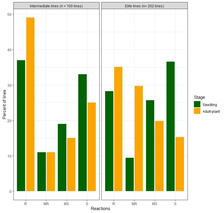
To identify sources of ASR and APR in the OSU breeding lines, evaluations were performed in the greenhouse at both seedling and adult plant stages (Figure 2). A total of 100 intermediate lines and 202 elite lines were evaluated for leaf rust response (Table 1). The percentage of moderately resistant to strongly resistant lines ranged from 38% to 48% at the seedling stage and from 60% to 65% at the adult-plant stage, depending on the breeding stage (intermediate vs. elite lines) (Figure 2). These rating results indicate that OSU breeding lines carry both ASR and APR genes. Contemporary OSU varieties with effective leaf rust resistance include Big Country, Green Hammer, Butler’s Gold, Strad CL Plus, Doublestop CL Plus, Uncharted and Skydance.
Figure 2. Leaf rust reactions of OSU breeding lines at seedling and adult plant stages. R, resistant; MR, moderately resistant; MS, moderately susceptible; and S, susceptible.
Genotyping of 171 elite breeding lines was performed by the USDA-Agricultural Research Service using molecular markers with moderate diagnostic capabilities for four ASR genes (Lr21, Lr24, Lr37 and Lr42) and five APR genes (Lr34, Lr46, Lr67, Lr68 and Lr77). Lr37 is the most frequent ASR gene among the elite breeding lines (Figure 3). However, virulent races to ASR genes Lr21, Lr24 and Lr37 are common in Oklahoma and the United States. Lr42 is broadly effective against all leaf rust pathogen races tested to date, but it is present in low frequency (2.3%) among OSU breeding lines (Figure 3). Selecting for the recently cloned Lr42 in future lines will be beneficial. The higher frequencies of lines with seedling resistance indicate that in addition to Lr42, other effective but unknown ASR genes are present among OSU breeding lines.
Figure 3. Frequencies of leaf rust resistance (Lr) genes among 171 elite breeding lines. ASR: all-stage resistance genes. APR: Adult plant resistance genes.
The higher frequency of lines with resistance at the adult plant stage compared to the seedling stage proves the presence of APR in OSU breeding lines. This was confirmed by high frequencies of APR genes in elite lines (Figure 3). WIT has developed elite lines and cultivars that carry multiple APR genes (Table 2). Stacking multiple APR genes results in durable and high levels of leaf rust resistance. Furthermore, most APR Lr genes provide resistance to multiple diseases, including stripe rust, stem rust and powdery mildew. Contemporary OSU varieties with three APR genes include Uncharted and Duster. Duster, a grandparent of Uncharted, among other varieties, has three identified APR genes and has maintained effective leaf rust resistance in the field since its initial development in 1993. Be aware that the APR resistance expression in these varieties may be severely compromised if infection occurs well before flowering.
Table 2. Leaf rust adult plant resistance gene combinations in 171 OSU elite lines.
| APR Gene Combination | Percent of Elite Lines | Example of OSU Varieties |
|---|---|---|
| Lr34, Lr46 | 5% | |
| Lr34, Lr68 | 5% | Strad CL Plus |
| Lr34, Lr77 | 1% | |
| Lr46, Lr77 | 1% | |
| Lr46, Lr68 | 8% | |
| Lr46, Lr77 | 10% | Green Hammer |
| Lr68, Lr77 | 3% | |
| Lr34, Lr46, Lr77 | 6% | Duster, Uncharted |
| Lr34, Lr68, Lr77 | 6% | |
| Lr34, Lr46, Lr68 | 1% | |
| Lr46, Lr68, Lr77 | 6% | |
| Lr34, Lr46, Lr68, Lr77 | 5% |
Powdery Mildew
Powdery mildew (Figure 4) is another common foliar disease in Oklahoma. However, statewide yield loss estimates from powdery mildew did not exceed 0.5% in Oklahoma during the last five years. Powdery mildew is generally most prevalent in fields with adequate or surplus nitrogen fertility and dense plant canopies. Infections have been more frequent in wheat production areas east of I-35.
Figure 4. Powdery mildew symptoms on a susceptible wheat variety.
Intermediate and elite OSU breeding lines were evaluated in the greenhouse for their reactions to powdery mildew at the seedling and adult plant stages (Table 1). Intermediate breeding lines were tested only at the adult plant stage, whereas elite lines were tested at both stages (Figure 5). The higher frequencies of elite lines with intermediate to strong resistant reactions at the adult plant stage compared to seedling stage indicate APR presence, which is certainly the case for the APR check Deliver. A total of 171 elite breeding lines were genotyped by the USDA-ARS using diagnostic markers for powdery mildew resistance genes Pm6, Pm38 and Pm39. The ASR gene Pm6 was present in only 9% of the lines, whereas the APR genes Pm38 and Pm39 were present in 39% and 51% of the lines, respectively. Pm38 and Pm39 are multi-disease resistance genes and should be retained in future varieties. OSU varieties with high resistance levels to powdery mildew include Big Country, Smith’s Gold, Strad CL Plus and Uncharted.
Figure 5. Powdery mildew reactions of OSU breeding lines at seedling stage and adult-plant stages. R, resistant; MR, moderately resistant; I, intermediate reaction; MS, moderately susceptible; and S, susceptible.
Tan Spot
Although tan spot (Figure 6) has been observed in Oklahoma since the 1970s, this disease has become more of a concern due to shifting of cultivation practices to minimum or no-till that leaves increased residue on the soil surface. The tan spot fungus survives on wheat residue from the previous year and infects wheat in the following spring. Yield losses in Oklahoma due to tan spot were estimated at 0.35% on average over the last five years (2018-2022). Hence, developing resistant wheat varieties to tan spot has been emphasized.
Figure 6. Tan spot lesions on wheat leaves.
A total of 203 elite OSU lines were evaluated in the greenhouse for tan spot at the seedling stage (Table 1). Forty-seven percent of the lines expressed intermediate to strong reactions to tan spot (Figure 7). OSU varieties with intermediate to high resistance levels to tan spot include Big Country, Ruby Lee, Strad CL Plus and Skydance.
Figure 7. Tan spot reactions of 203 OSU elite breeding lines at the seedling stage. R, resistant; MR, moderately resistant; I, intermediate reaction; MS, moderately susceptible; and S, susceptible.
Spot Blotch
The fungus Bipolaris sorokiniana, causing both spot blotch (Figure 8) and common root rot was observed in 2022 in wheat fields in Oklahoma, such as in Alfalfa, Blaine, Payne, Oklahoma, Garfield, Okmulgee and Beaver counties. Prior to the 2021-2022 crop season, observations of spot blotch reaction were limited to chance natural infections in the field, and often, symptoms of spot blotch were contaminated by other disease symptoms. WIT initiated controlled seedling evaluations of 40 elite OSU lines for spot blotch in the greenhouse. This was the first research trial to evaluate this disease in controlled conditions. Rating results of this seedling test showed that 16 lines were moderately resistant to strongly resistant (40%), 17 lines had an intermediate reaction (43%) and seven lines were moderately susceptible (17.5%). Resistant reactions of OK Corral and Big Country stood out the most among OSU varieties. Ruby Lee and Garrison were used as moderately resistant checks. Experimental lines derived from them, respectively OK19225 and OK16103083, were most notable for spot blotch resistance. These two candidates are discussed further in Dr. Brett Carver’s report.


Wheat Soilborne Mosaic/Wheat Spindle Streak Mosaic
Breeding for resistance to the viral disease complex wheat soilborne mosaic/wheat spindle streak mosaic (WSBM/WSSM) (Figure 9) has been one of WIT’s longtime goals. Consequently, all OSU varieties, except Lonerider, are resistant to WSBM/WSSM. Continuous effort to breed for resistance to this disease is needed. Over the last few years and for unknown reasons, there was reduced disease pressure in the WSBM/WSSM nursery in Stillwater. The WSBM/WSSM susceptible check Vona was planted in strips between breeding lines. In 2022, there was moderate disease pressure that helped the evaluation of 355 preliminary, 100 intermediate and 202 elite OSU breeding lines (Table 1).


Figure 9. Symptoms of wheat soilborne mosaic (photo on left) and wheat spindle streak mosaic (photo on right).
Rating results showed that 90% of the preliminary lines, 89% of the intermediate lines and 87% of the elite lines expressed moderately resistant to resistant reactions to WSBM/WSSM (Figure 10). Phenotypic evaluations of elite lines agreed with genotyping using a molecular marker linked to the WSBM resistance gene Sbm1. Among the 171 elite lines, 148 lines (87%) carry Sbm1. Therefore, marker-assisted selection for resistance to WSBM is another reliable approach that can be implemented in seasons with no or low WSBM symptoms in the field. However, this marker will not predict reaction to WSSM.
In addition to OSU breeding lines, phenotypic evaluations for WSBM/WSSM were performed for 461 winter wheat breeding lines and varieties from the 2022 Regional Germplasm Observation Nursery (RGON), Northern Regional Performance Nursery (NRPN) and Southern Regional Performance Nursery (SRPN). The breeding lines and varieties in this germplasm were selected from multiple public and private winter wheat breeding programs across the U.S. The rating results for 2022 SRPN, NRPN and RGON are publicly available on the ARS website.
Figure 10. Wheat soilborne mosaic/wheat spindle streak mosaic reactions of OSU breeding lines in the field. R, resistant; MR, moderately resistant; I, intermediate reaction; MS, moderately susceptible; and S, susceptible.
Barley Yellow Dwarf
Barley yellow dwarf (BYD) (Figure 11) is a common disease in Oklahoma, causing an estimated yield loss of 0.43% on average over the last five years (2018-2022). A total of 170 elite OSU breeding lines were evaluated in a BYD nursery in Stillwater. The variety Pete, which is susceptible to BYD, was planted in strips between breeding lines to facilitate disease incidence and severity. The nursery was planted in late September 2021 to enhance the opportunity of infestation with aphids carrying the BYD virus.
Figure 11. Barley yellow dwarf symptoms on wheat.
Based on BYD ratings, 13% of the elite lines were highly resistant and 35% had intermediate reaction (Figure 12). These lines were genotyped by USDA-ARS for two BYD resistance genes Bdv1 and Bdv2 using diagnostic molecular markers. The high level of resistance is mainly attributed to the presence of Bdv2 (4 % of the lines carry only Bdv2, while 11% carry both Bdv1 and Bdv2) (Figure 13). The OSU variety Uncharted, which carries both Bdv1 and Bdv2, is a highly resistant variety to BYD. Efforts by WIT are well underway to transfer this level of resistance to descendants of Doublestop CL Plus and Smith’s Gold.
Figure 12. Reactions of 170 OSU elite breeding lines to barley yellow dwarf. R, resistant; I, intermediate reaction; MS, moderately susceptible; and S, susceptible.
Figure 13. Frequencies of barley yellow dwarf resistance genes among 170 OSU elite breeding lines.
Wheat Germplasm Imported from Eastern Europe
Wheat germplasm was exchanged with the national wheat breeding programs in Hungary and Romania. This germplasm is used to transfer favorable traits into adapted OSU breeding lines. This should also enhance the genetic diversity in OSU wheat, which is essential for wheat improvement. To mine for disease resistance sources in this imported germplasm, we evaluated six Eastern European lines to prevalent diseases in Oklahoma like leaf rust, powdery mildew, tan spot and WSBM/WSSM. Resistant sources to these diseases were identified in this germplasm.
Related Activities not Directly Funded by Oklahoma Wheat Research Foundation
The 2022 Oklahoma wheat crop was tested (14 samples from eight counties) for the presence of Karnal bunt. Results from this testing were used to certify that Oklahoma wheat was produced in areas not known to be infested with Karnal bunt, which allows Oklahoma wheat to move freely into the export market.
In 2022, we conducted a foliar fungicide trial for 30 treatments in collaboration with private industries. Drought through most of fall 2021 and spring 2022 suppressed many foliar diseases, except powdery mildew. The average powdery mildew severity of the nontreated check reached 33% on April 19 (rating on lower and mid-canopy) and 25% on May 15 (on upper canopy; flag leaf and flag leaf-1). Results of fungicide efficacy in controlling powdery mildew can be found online.










